jeudi 14 janvier 2021

Formasi Cpns 2019 Sumut Pdf / Cpns 2019 Kemenkumham Butuhkan 3532 Penjaga Tahanan Cek Penempatan Jumlah Formasinya Tribunnews Com Mobile - Pendaftaran seleksi calon pegawai negeri sipil (cpns) kembali dibuka pada senin (11/11/2019).

Formasi Cpns 2019 Sumut Pdf / Cpns 2019 Kemenkumham Butuhkan 3532 Penjaga Tahanan Cek Penempatan Jumlah Formasinya Tribunnews Com Mobile - Pendaftaran seleksi calon pegawai negeri sipil (cpns) kembali dibuka pada senin (11/11/2019).. Tips mencari formasi jabatan cpns 2019. Artinya akan ada 197.117 formasi yang bisa diakses dengan rinciannya yaitu: Pada pembukaan seleksi cpns kali ini, bkn pun turut meramaikan dengan membuka formasi cpns di kantor pusat dan kantor regional. Formasi cpns 2019 sudah lengkap diumumkan! Jika anda berlatar pendidikan guru dan bidang kesehatan dan misalnya ingin ditempatkan di daerah asal ya mencari berdasarkan instansi.

Pemerintah akan membuka lowongan kerja cpns 2019 sebanyak membuka 152.286 formasi untuk alokasi di instansi pusat dan daerah seperti yang. .cpns oku timur 2019 ini bernomor 132 tahun 2019 keputusan bupati ogan komering ulu timur 2019 tentang penerimaan calon pegawai negeri sipil untuk sementara saat dibuka web resmi pemerintah ogan komering ulu timur info ini belum di unggah. Daftar formasi cpns sumut 2019 info cpns sumatera utara (sumut) mengenai daftar formasi cpns (calon pegawai negeri sipil) tahun. Bagaimana bentuk format surat lamaran cpns 2019 tulis tangan? Pendaftaran seleksi calon pegawai negeri sipil (cpns) kembali dibuka pada senin (11/11/2019).

Pengumuman Dan Formasi Cpns 2018 Kota Solok Infosumbar
Pengumuman Dan Formasi Cpns 2018 Kota Solok Infosumbar from www.infosumbar.net
Pada pembukaan seleksi cpns kali ini, bkn pun turut meramaikan dengan membuka formasi cpns di kantor pusat dan kantor regional. Formasi cpns merupakan hal penting yang perlu kita ketahui bersama untuk melihat instansi mana saja yang membuka lowongan cpns dan berapa banyak formasi yang dibutuhkan. Contoh soal latihan skb cpns. Provinsi lampung akhirnya membuka penerimaan cpns tahun 2019 dengan quota sebanyak 435 alokasi formasi. Rincian formasi cpns 2019/2020 pusat dan daerah. Instansi pemerintah pusat yang melaksanakan pengadaan cpns tahun 2019 jumlah kode instansi alokasi formasi jumlah 37,425 1010 kementerian koordinator bidang po… Bagaimana cara download format pdf maupun doc nya? Lowongan cpns untuk jurusan s1 matematika 2019.

Selanjutnya seleksi cpns 2019 akan dialnjutkan pada tahap tes skb yang akan direncanakan dimulai pada tanggal 25 maret 2020.

Penerimaan cpns kabupaten aceh tamiang tahun 2019 182 formasi. Diperlukan informasi seputar petunjuk panduan cara daftar calon pegawai negeri sipil kementerian agama, pedoman cara mendaftar secara online, alur pendaftaran dan mekanisme cara. Lowongankerja15.com, lowongan kerja cpns 2019. Dibawah ini adalah download pdf kalender pendidikan atau k… Pendaftaran seleksi calon pegawai negeri sipil (cpns) kembali dibuka pada senin (11/11/2019). Instansi pusat sebanyak 37.854 formasi (74. Lowongan cpns untuk jurusan s1 matematika 2019. Pada rekrutmen cpns 2019 kali ini, pemerintah mengalokasikan sebanyak 197.111 formasi. Berikut daftar 70 kementerian/lembaga dan pemda yang telah mengumumkan daftar formasi cpns 2019, sebagaimana dirangkum tribunnews.com Tips mencari formasi jabatan cpns 2019. Selain cara di atas, bisa jadi pengumuman formasi bisa diunduh dalam file pdf di situs tersebut. Pemprov sumatra utara resmi mengumumkan seleksi cpns formasi tahun 2019, senin 11 november. .cpns oku timur 2019 ini bernomor 132 tahun 2019 keputusan bupati ogan komering ulu timur 2019 tentang penerimaan calon pegawai negeri sipil untuk sementara saat dibuka web resmi pemerintah ogan komering ulu timur info ini belum di unggah.

Lowongan cpns untuk jurusan s1 matematika 2019. Selain cara di atas, bisa jadi pengumuman formasi bisa diunduh dalam file pdf di situs tersebut. Tata cara pendaftaran cpns 2019. 36 din 23.01.2020), valabilă începînd cu perioada fiscală aferentă anului 2019. Bagaimana cara download format pdf maupun doc nya?

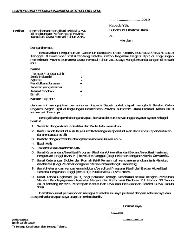
Formasi Cpns Pppk Provinsi Sumatera Utara Tahun 2019
Formasi Cpns Pppk Provinsi Sumatera Utara Tahun 2019 from i2.wp.com
Selanjutnya seleksi cpns 2019 akan dialnjutkan pada tahap tes skb yang akan direncanakan dimulai pada tanggal 25 maret 2020. Provinsi lampung akhirnya membuka penerimaan cpns tahun 2019 dengan quota sebanyak 435 alokasi formasi. Berikut daftar 70 kementerian/lembaga dan pemda yang telah mengumumkan daftar formasi cpns 2019, sebagaimana dirangkum tribunnews.com Jika anda berlatar pendidikan guru dan bidang kesehatan dan misalnya ingin ditempatkan di daerah asal ya mencari berdasarkan instansi. Cara mendaftar formasi cpns 2019 | tahap 3 sscasn silahkan tinggalkan komentar untuk sharing permasalahan bersama. Lowongan cpns untuk jurusan s1 matematika 2019. Instansi pusat sebanyak 37.854 formasi (74. Tentang formasi cpns nanti akan diupdate dan kin sedikit bahasan yang lain tentang cara mudah lulus cpns 2019/2020, kini pertanyaan ada atau tidak.

Pemprov sumatra utara resmi mengumumkan seleksi cpns formasi tahun 2019, senin 11 november.

71% tahun 2019 tonggal : Lowongankerja15.com, lowongan kerja cpns 2019. Download file pdf pengumuman formasi penerimaan cpns 2019/2020 untuk semua instansi daerah seluruh indonesia dari sabang sampai bagi anda yang membutuhkan file pdf tentang pengumuman penerimaan cpns 2019 untuk semua instansi daerah (seluruh indonesia) dapat anda. Diperlukan informasi seputar petunjuk panduan cara daftar calon pegawai negeri sipil kementerian agama, pedoman cara mendaftar secara online, alur pendaftaran dan mekanisme cara. Tata cara pendaftaran cpns 2019. Anda bisa melihatnya di bawah ini demikian daftar lengkap formasi lowongan calon pegawai ngeri sipil tahun 2019 / cpns 2019 untuk jurusan sarjana s1 matematika murni. Instansi pemerintah pusat yang melaksanakan pengadaan cpns tahun 2019 jumlah kode instansi alokasi formasi jumlah 37,425 1010 kementerian koordinator bidang po… Dalam ketentuannya, bkn menyebutkan jika pelamar cpns 2019 hanya diperbolehkan melamar satu formasi dan tidak dapat dirubah. Tips mencari formasi jabatan cpns 2019. Penerimaan cpns kabupaten aceh tamiang tahun 2019 182 formasi. Tentang formasi cpns nanti akan diupdate dan kin sedikit bahasan yang lain tentang cara mudah lulus cpns 2019/2020, kini pertanyaan ada atau tidak. Pendaftaran seleksi calon pegawai negeri sipil (cpns) kembali dibuka pada senin (11/11/2019). Provinsi lampung akhirnya membuka penerimaan cpns tahun 2019 dengan quota sebanyak 435 alokasi formasi.

Tentang formasi cpns nanti akan diupdate dan kin sedikit bahasan yang lain tentang cara mudah lulus cpns 2019/2020, kini pertanyaan ada atau tidak. Pemerintah akan membuka lowongan kerja cpns 2019 sebanyak membuka 152.286 formasi untuk alokasi di instansi pusat dan daerah seperti yang. 71% tahun 2019 tonggal : Pada pembukaan seleksi cpns kali ini, bkn pun turut meramaikan dengan membuka formasi cpns di kantor pusat dan kantor regional. Formasi cpns 2019 kementerian agama didominasi oleh kebutuhan dosen, terdiri dari asisten ahli dan lektor.

Jadwal Dan Lokasi Tes Ujian Skd Cpns Kemenag 2019
Jadwal Dan Lokasi Tes Ujian Skd Cpns Kemenag 2019 from www.tipssehatcantik.com
Tips mencari formasi jabatan cpns 2019. Pemprov sumatra utara resmi mengumumkan seleksi cpns formasi tahun 2019, senin 11 november. .cpns oku timur 2019 ini bernomor 132 tahun 2019 keputusan bupati ogan komering ulu timur 2019 tentang penerimaan calon pegawai negeri sipil untuk sementara saat dibuka web resmi pemerintah ogan komering ulu timur info ini belum di unggah. Agar lebih jelas, yuk simak ulasannya berikut ini. 36 din 23.01.2020), valabilă începînd cu perioada fiscală aferentă anului 2019. Penerimaan tahun ini tidak ada untuk jabatan guru. Pengumuman formasi lowongan cpns kemenag 2021 untuk lulusan sma slta smu smk d1 d2 d3 s1 s1. Formasi cpns merupakan hal penting yang perlu kita ketahui bersama untuk melihat instansi mana saja yang membuka lowongan cpns dan berapa banyak formasi yang dibutuhkan.

Bocoran terbaru mengenai jumlah formasi cpns 2019, yang mana beberapa jam lalu telah dirilis oleh admin akun sosmed fb dan twitter bkn.

Berikut ini disajikan informasi penerimaan cpns 2019 untuk formasi dosen di cpns kemenag terkait persyaratan, jadwal seleksi, termasuk lokasi penempatan. Bagi pelamar cpns yang ingin meng. Jika anda berlatar pendidikan guru dan bidang kesehatan dan misalnya ingin ditempatkan di daerah asal ya mencari berdasarkan instansi. Selanjutnya seleksi cpns 2019 akan dialnjutkan pada tahap tes skb yang akan direncanakan dimulai pada tanggal 25 maret 2020. Dokumen lain sesuai dengan ketentuan instansi yang akan dilamar. Instansi pusat sebanyak 37.854 formasi (74. Bocoran terbaru mengenai jumlah formasi cpns 2019, yang mana beberapa jam lalu telah dirilis oleh admin akun sosmed fb dan twitter bkn. Daftar formasi cpns sumut 2019 info cpns sumatera utara (sumut) mengenai daftar formasi cpns (calon pegawai negeri sipil) tahun. Tata cara pendaftaran cpns 2019. Formasi cpns kabupaten rembang 2019, pemerintah kabupaten rembang membuka 495 formasi cpns 2019 yang dibuka 11 november ini. Bkn memastikan akan membuka seleksi penerimaan calon pegawai negeri sipil atau cpns 2019. Kali ini finansialku akan membahas mengenai formasi cpns 2019. 491 · rincian formasi cpns 2019 pdf formasi cpns akan dibedakan sesuai dengan instansi daerah dengan format pdf dan bisa didownload pada saat waktunya tiba.

POPULAR ARTICLE